Business Purchase Agreement Template Free – An adaptable and personalized file or design, known as a printable template, can be utilized for a variety of functions. They are often offered in digital formats, allowing for easy printing or online sharing.
Business Purchase Agreement Template Free
50 Purchase Agreement Templates Word PDF ODT
In our progressively digital world, the attraction of physical, concrete objects remains strong. This is where printable templates been available in, offering a flexible and budget-friendly way to bring your concepts to life. Whether you’re a skilled crafter, a hectic parent, or aiming to include an individual touch to your company, printable templates can be your ace in the hole.
Free Business Purchase Agreement Template Rocket Lawyer
Free Business Purchase Agreement Template PDF Word
The charm of printable templates lies in their huge variety. Here’s a glimpse into the bonanza of options available:
- Crafting and DIY Projects: From origami productions and joyful designs to detailed paper art and customized present boxes, templates provide a starting point for unleashing your inner artist.
- Remaining arranged and on top of your game has never been easier with our arsenal of printable calendars, planners, budget plan trackers, and order of business. These visual tools will help you keep your schedule and goals in check, giving you a sense of control and accomplishment.
- Educational Activities: Flashcards, worksheets, coloring pages, and games with templates can transform learning into a fun and engaging experience for kids of any ages.
- Business and Marketing: Templates for pamphlets, leaflets, business cards, and presentations offer a professional and sleek look to your marketing materials.
- Event Planning: Invitations, location cards, party prefers, and decorations can all be created utilizing templates, adding a cohesive and individualized touch to your events.
Opening Efficiency: The Advantages of Printable Templates like Business Purchase Agreement Template Free
“Benefits of Printable Templates vs. Starting from Scratch”
- Templates conserve time by offering a pre-designed structure, removing the requirement for exact measurements and complex design efforts. This enables you to concentrate on the imaginative elements of your project.
- Affordable: Free and economical printable templates are offered online, saving you cash acquiring pre-made craft materials or design services.
- Enhances Confidence: Beginners can gain the confidence to tackle new projects with the help of templates, while skilled crafters can find motivation for variations and modifications.
- Encourages Organization: Templates are typically pre-designed with particular sections, simplifying the task of keeping your jobs and strategies efficient.
Supplies Versatility: Various editable templates provide you the choice to alter colors and fonts and integrate unique aspects.
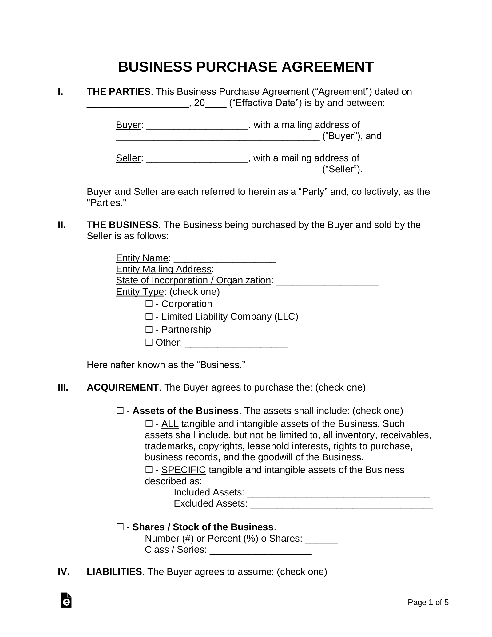
Free Business Purchase Agreement BPA Template PDF Word EForms
Available templates approve you a passport to a realm of limitless chances, enabling you to fashion, coordinate, and tailor many elements of your presence. Whether creating captivating embellishments or enhancing your timetable, the possibilities are limitless. Business Purchase Agreement Template Free
Printable templates are a valuable resource for both individual and professional projects, as they provide a pre-designed structure for your content. By utilizing these Business Purchase Agreement Template Free, you can enhance the style process and conserve effort and time, allowing you to focus on other essential aspects of your task.




