Buy-Sell Agreement Word Template Free – A versatile and customizable file or layout, called a printable template, can be utilized for a range of purposes. They are often offered in digital formats, enabling easy printing or online sharing.
Buy-Sell Agreement Word Template Free
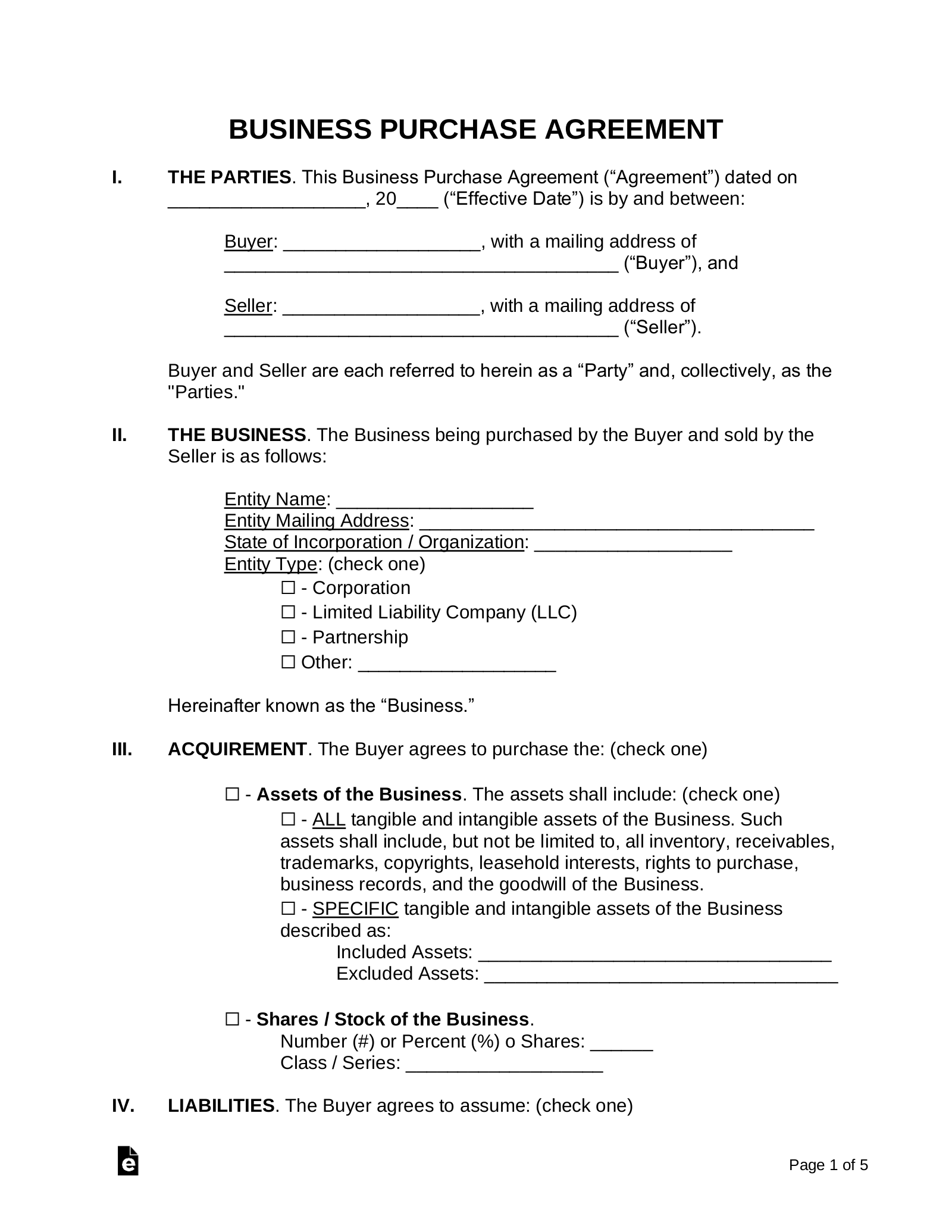
Free Business Purchase Agreement BPA Template PDF Word EForms
In today’s digital age, there’s still a strong desire for physical, tactile things. That’s where printable templates been available in, supplying a versatile and inexpensive solution to turn your concepts into reality. Whether you’re an experienced crafter, a busy parent, or looking for a customized touch for your organization, printable templates can be your go-to resource.
44 Free Buy Sell Agreement Templates Samples
44 Free Buy Sell Agreement Templates Samples
Printable templates provide a wide variety of choices, showcasing a varied choice of options for users to check out.
- Crafting and DIY Projects: From origami developments and festive decorations to complex paper art and customized present boxes, templates provide a beginning point for unleashing your inner artist.
- Preparation and Organization: Printable calendars, organizers, budget trackers, and to-do lists help you remain on top of your schedule and objectives in a visually appealing method.
- Educational Activities: Flashcards, worksheets, coloring pages, and video games with templates can change finding out into an enjoyable and appealing experience for children of any ages.
- Organization and Marketing: Utilizing templates for pamphlets, flyers, business cards, and discussions can enhance the professional look of your marketing materials.
- Event Planning: Templates can be used to design invites, location cards, celebration prefers, and decorations, supplying a merged and tailored element to your occasions.
Unlocking Efficiency: The Advantages of Printable Templates like Buy-Sell Agreement Word Template Free
There are several benefits to using Buy-Sell Agreement Word Template Free over starting from scratch:
- Templates save time by offering a pre-designed structure, removing the requirement for precise measurements and complex style efforts. This enables you to concentrate on the creative elements of your job.
- Cost-efficient: Free and cost effective printable templates are readily available online, saving you money purchasing pre-made craft supplies or design services.
- Enhances Confidence: Beginners can gain the self-confidence to deal with new projects with the help of templates, while skilled crafters can discover motivation for variations and customizations.
- Promotes Organization: Templates frequently come pre-formatted with designated sections, making keeping your projects and plans organized simpler.
Offers Flexibility: Many customizable templates enable you to customize colors and font styles and add innovative touches.
Free Buy Sell Agreement Template PDF Word
Printable templates use an entrance to a world of possibilities, empowering you to create, organize, and customize numerous aspects of your life. From crafting wonderful decorations to simplifying your schedule, the potential applications are limitless. Buy-Sell Agreement Word Template Free
Printable templates are a valuable resource for both personal and expert tasks, as they offer a pre-designed structure for your material. By using these Buy-Sell Agreement Word Template Free, you can enhance the style process and save time and effort, allowing you to concentrate on other essential aspects of your job.




