Cleaning Service Contract Agreement Template – A versatile and personalized document or layout, known as a printable template, can be utilized for a range of purposes. They are frequently offered in digital formats, permitting easy printing or online sharing.
Cleaning Service Contract Agreement Template
Free Cleaning Service Contract Template In PDF
In today’s digital age, there’s still a strong desire for physical, tactile things. That’s where printable templates come in, supplying a versatile and budget-friendly service to turn your concepts into reality. Whether you’re a knowledgeable crafter, a busy parent, or looking for a personalized touch for your company, printable templates can be your go-to resource.
41 Printable Cleaning Contract Templates 100 Free
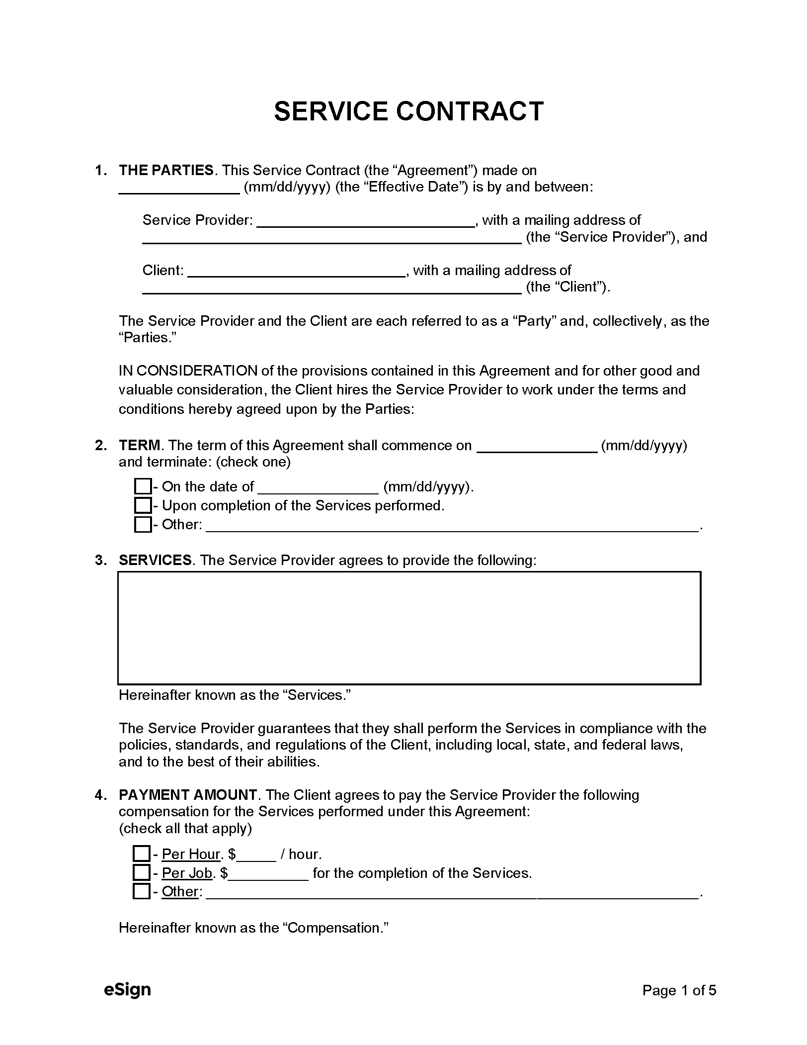
Free Service Contract Templates 20 PDF Word
Printable templates provide a wide range of choices, showcasing a diverse choice of options for users to check out.
- Crafting and DIY Projects: From origami creations and joyful decors to detailed paper art and personalized gift boxes, templates provide a starting point for releasing your inner artist.
- Preparation and Organization: Printable calendars, planners, spending plan trackers, and order of business assist you remain on top of your schedule and goals in an aesthetically enticing way.
- Educational Activities: Flashcards, worksheets, coloring pages, and games with templates can transform learning into a fun and interesting experience for children of all ages.
- Company and Marketing: Utilizing templates for brochures, flyers, business cards, and presentations can enhance the expert look of your marketing materials.
- Event Planning: Templates can be utilized to develop invites, place cards, celebration prefers, and designs, providing an unified and customized component to your events.
Opening Efficiency: The Advantages of Printable Templates like Cleaning Service Contract Agreement Template
There are a number of advantages to utilizing Cleaning Service Contract Agreement Template over starting from scratch:
- Saves Time: Templates supply a ready-made structure, eliminating the requirement for meticulous measurements and intricate design work. This enables you to focus on the imaginative aspects of your project.
- Economical: Free and cost effective printable templates are available online, saving you money acquiring pre-made craft materials or style services.
- Improves Confidence: Beginners can gain the self-confidence to tackle new jobs with the help of templates, while experienced crafters can find inspiration for variations and modifications.
- Promotes Organization: Templates often come pre-formatted with designated sections, making keeping your tasks and plans organized simpler.
Offers Flexibility: Many personalized templates permit you to modify colors and font styles and add creative touches.
Free Cleaning Service Contract Template Legal Templates
Accessible templates give you a passport to a realm of limitless chances, allowing you to fashion, coordinate, and tailor many aspects of your existence. Whether designing fascinating embellishments or enhancing your schedule, the possibilities are boundless. Cleaning Service Contract Agreement Template
Printable templates are a valuable resource for both individual and professional projects, as they offer a pre-designed framework for your content. By utilizing these Cleaning Service Contract Agreement Template, you can simplify the design procedure and save effort and time, allowing you to concentrate on other crucial aspects of your task.




