Free Business Sale Agreement Template Word – A versatile and adjustable file or design, known as a printable template, can be utilized for a range of functions. They are frequently readily available in digital formats, allowing for simple printing or online sharing.
Free Business Sale Agreement Template Word
Business Sale Agreement Template 100 Free CocoSign
In today’s digital age, there’s still a strong desire for physical, tactile objects. That’s where printable templates been available in, providing a flexible and affordable service to turn your concepts into reality. Whether you’re an experienced crafter, a busy moms and dad, or seeking a tailored touch for your company, printable templates can be your go-to resource.
Free Business Bill Of Sale Form PDF Word EForms
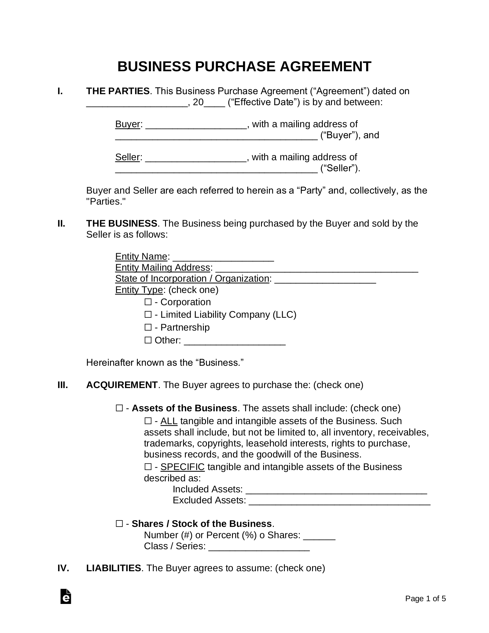
Free Business Purchase Agreement Template PDF Word
The beauty of printable templates depends on their large range. Here’s a peek into the gold mine of options available:
- Participating in crafting and DIY jobs involves using templates to kickstart your creativity, whether you’re making origami, joyful designs, elaborate paper art, or customized present boxes.
- Remaining arranged and on top of your video game has never ever been simpler with our toolbox of printable calendars, planners, budget plan trackers, and order of business. These visual tools will help you keep your schedule and goals in check, providing you a sense of control and accomplishment.
- Educational Activities: Flashcards, worksheets, coloring pages, and video games with templates can change learning into a fun and interesting experience for children of all ages.
- Company and Marketing: Utilizing templates for pamphlets, leaflets, business cards, and discussions can improve the professional appearance of your marketing products.
- Event Planning: Templates can be utilized to create invites, place cards, party favors, and designs, offering a merged and customized component to your events.
Opening Efficiency: The Advantages of Printable Templates like Free Business Sale Agreement Template Word
“Benefits of Printable Templates vs. Starting from Scratch”
- Saves Time: Templates offer a ready-made framework, eliminating the need for precise measurements and detailed design work. This allows you to concentrate on the imaginative elements of your task.
- Economical: Free and budget friendly printable templates are available online, saving you cash acquiring pre-made craft materials or style services.
- Enhances Confidence: Beginners can get the self-confidence to deal with brand-new tasks with the help of templates, while experienced crafters can find motivation for variations and modifications.
- Promotes Organization: Templates often come pre-formatted with designated areas, making keeping your tasks and strategies arranged much easier.
Offers Flexibility: Many personalized templates permit you to modify colors and font styles and include innovative touches.
Free Business Purchase Agreement BPA Template PDF Word EForms
Printable templates provide an entrance to a world of possibilities, empowering you to produce, organize, and personalize different elements of your life. From crafting wonderful designs to simplifying your schedule, the prospective applications are limitless. Free Business Sale Agreement Template Word
Printable templates are an important resource for both individual and expert tasks, as they use a pre-designed framework for your material. By using these Free Business Sale Agreement Template Word, you can enhance the design procedure and save effort and time, allowing you to focus on other important elements of your job.




