Free Rent To Own Lease Agreement – A printable template is a pre-designed file or design that you can tailor and use for numerous functions. These templates are normally readily available in digital formats and can be printed or shared online.
Free Rent To Own Lease Agreement
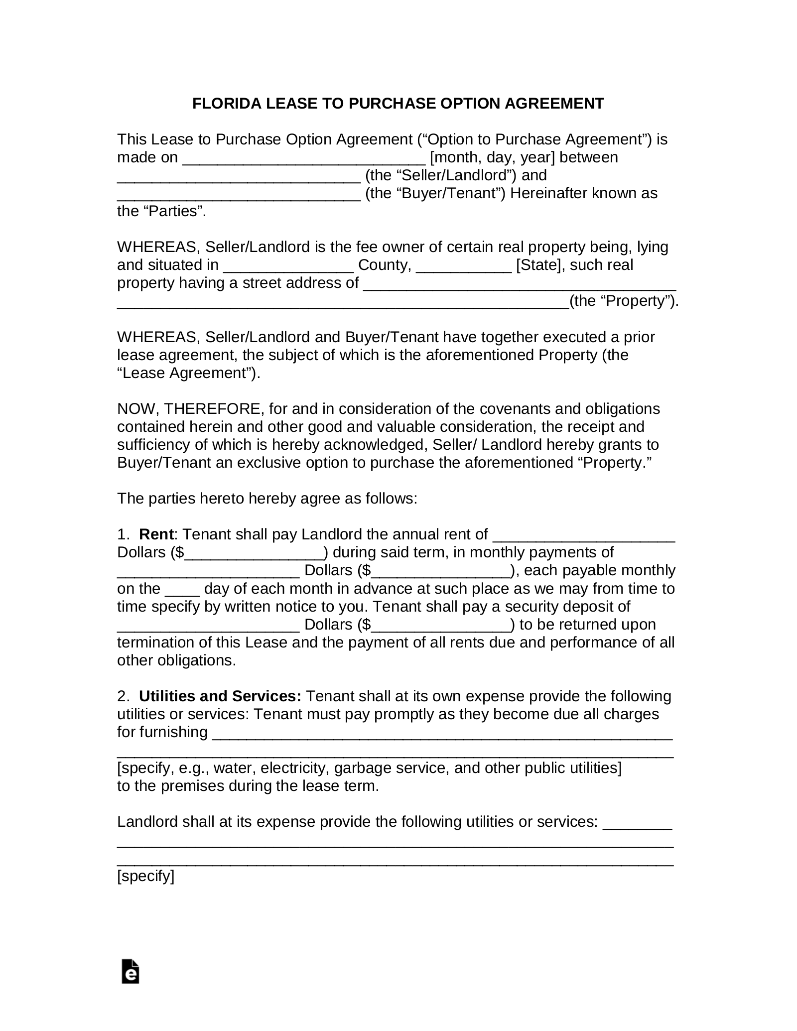
Free Florida Rent To Own Lease Agreement PDF Word EForms
In today’s digital age, there’s still a strong desire for physical, tactile items. That’s where printable templates been available in, offering a flexible and affordable option to turn your ideas into reality. Whether you’re a skilled crafter, a busy moms and dad, or seeking a tailored touch for your organization, printable templates can be your go-to resource.
30 Free Rent To Own Contracts Templates TemplateLab
Free Rent To Own Lease Agreement Template PDF WORD
Printable templates use a vast array of choices, showcasing a varied selection of options for users to check out.
- Engaging in crafting and DIY tasks involves using templates to kickstart your imagination, whether you’re making origami, joyful designs, intricate paper art, or customized gift boxes.
- Remaining organized and on top of your video game has never ever been easier with our arsenal of printable calendars, coordinators, spending plan trackers, and to-do lists. These visual tools will help you keep your schedule and objectives in check, offering you a sense of control and accomplishment.
- Educational activities such as flashcards, worksheets, coloring pages, and games using templates can make learning enjoyable and interactive for kids of numerous age groups.
- Company and Marketing: Templates for brochures, leaflets, business cards, and discussions provide an expert and polished seek to your marketing products.
- Occasion Planning: Invitations, location cards, celebration favors, and decors can all be created using templates, adding a cohesive and customized touch to your celebrations.
The Benefits of Using Printable Templates like Free Rent To Own Lease Agreement
“Benefits of Printable Templates vs. Starting from Scratch”
- Saves Time: Templates offer a ready-made structure, getting rid of the need for careful measurements and detailed design work. This enables you to concentrate on the imaginative elements of your project.
- Budget-Friendly Bonanza: Utilize complimentary and low-priced printable templates discovered online to bypass the cost of pre-made craft products or style services, and produce your own unique productions without breaking the bank!
- Motivates Creativity: Templates offer a structure for newbie crafters to build on, giving them the guts to attempt fresh tasks. At the same time, skilled craftsmen can draw inspiration from templates to produce distinct variations and customizations.
- Promotes Organization: Templates often come pre-formatted with designated areas, making keeping your projects and strategies arranged simpler.
Offers Flexibility: Many adjustable templates enable you to customize colors and typefaces and include creative touches.
Free Rent To Own Lease Agreement Template PDF Word
Available templates give you a passport to a world of unlimited opportunities, permitting you to style, coordinate, and tailor many components of your presence. Whether designing captivating decorations or enhancing your schedule, the possibilities are boundless. Free Rent To Own Lease Agreement
Printable templates are a valuable resource for both personal and expert tasks, as they offer a pre-designed framework for your material. By using these Free Rent To Own Lease Agreement, you can improve the design procedure and conserve time and effort, allowing you to concentrate on other important aspects of your project.




