Lease To Own Agreement Form – An adaptable and customizable file or layout, known as a printable template, can be utilized for a variety of purposes. They are typically readily available in digital formats, permitting simple printing or online sharing.
Lease To Own Agreement Form
Free California Lease To Own Agreement Form PDF WORD
In today’s digital age, there’s still a strong desire for physical, tactile things. That’s where printable templates come in, providing a versatile and affordable option to turn your ideas into reality. Whether you’re a skilled crafter, a busy moms and dad, or seeking a tailored touch for your company, printable templates can be your go-to resource.
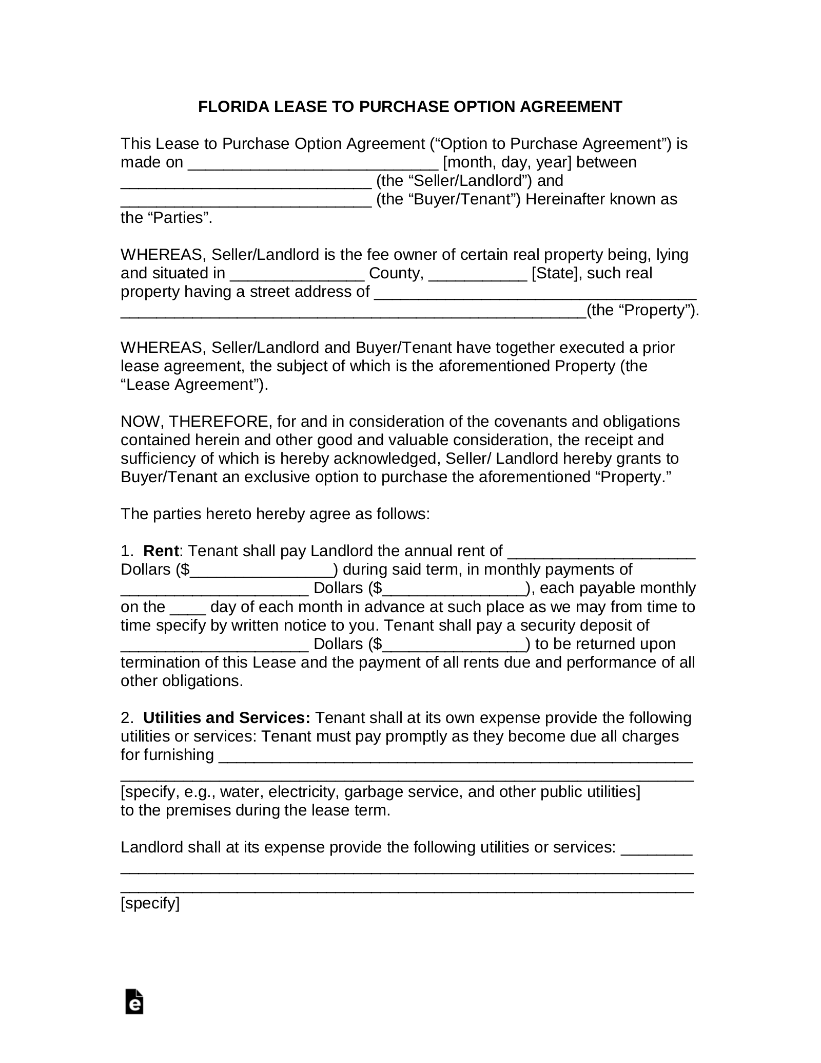
Free Florida Rent To Own Lease Agreement PDF Word EForms
Free Louisiana Rent To Own Agreement Form PDF WORD
The appeal of printable templates lies in their large variety. Here’s a peek into the bonanza of choices offered:
- Crafting and DIY Projects: From origami creations and joyful decors to detailed paper art and customized present boxes, templates offer a beginning point for releasing your inner artist.
- Remaining arranged and on top of your video game has never ever been easier with our arsenal of printable calendars, coordinators, spending plan trackers, and to-do lists. These visual tools will assist you keep your schedule and objectives in check, providing you a sense of control and achievement.
- Educational Activities: Flashcards, worksheets, coloring pages, and video games with templates can change discovering into an enjoyable and engaging experience for kids of all ages.
- Organization and Marketing: Templates for sales brochures, flyers, business cards, and presentations provide a professional and polished seek to your marketing products.
- Occasion Planning: Invitations, place cards, party favors, and decorations can all be produced utilizing templates, adding a cohesive and tailored touch to your events.
The Benefits of Using Printable Templates like Lease To Own Agreement Form
“Benefits of Printable Templates vs. Starting from Scratch”
- Templates conserve time by using a pre-designed structure, eliminating the requirement for accurate measurements and complicated style efforts. This allows you to focus on the imaginative elements of your job.
- Affordable: Free and inexpensive printable templates are offered online, conserving you money buying pre-made craft products or design services.
- Encourages Creativity: Templates supply a structure for beginner crafters to build on, providing the courage to try fresh jobs. At the same time, skilled craftsmen can draw motivation from templates to produce special variations and modifications.
- Promotes Organization: Templates frequently come pre-formatted with designated sections, making keeping your tasks and plans arranged simpler.
Offers Flexibility: Many customizable templates permit you to customize colors and font styles and include innovative touches.
Free Rent To Own Lease Agreement Template PDF Word
Printable templates offer a gateway to a world of possibilities, empowering you to create, organize, and personalize numerous aspects of your life. From crafting delightful designs to improving your schedule, the possible applications are endless. Lease To Own Agreement Form
Whether you’re designing for personal or professional use, Lease To Own Agreement Form conserve time and effort by offering a properly designed foundation for your material




