Rent To Own Agreement Template – A printable template is a pre-designed file or design that you can tailor and utilize for numerous functions. These templates are typically readily available in digital formats and can be printed or shared online.
Rent To Own Agreement Template
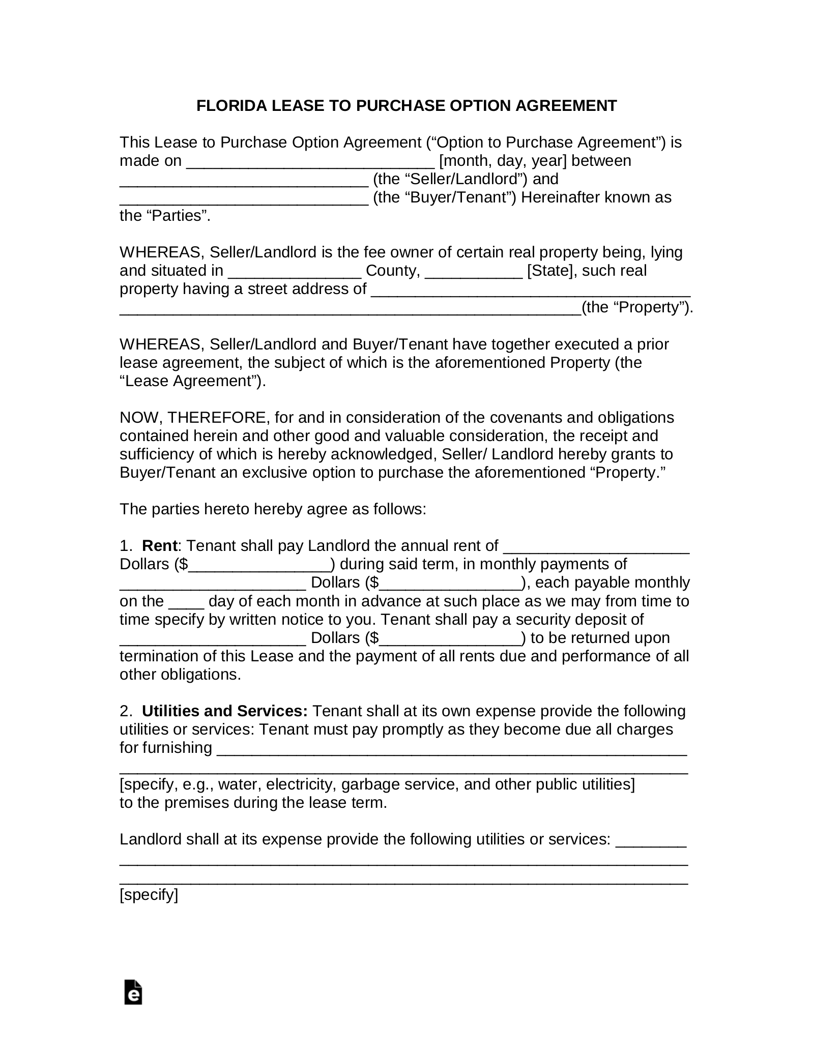
Free Florida Rent To Own Lease Agreement PDF Word EForms
In our increasingly digital world, the appeal of physical, tangible objects remains strong. This is where printable templates come in, providing a versatile and economical way to bring your concepts to life. Whether you’re an experienced crafter, a busy moms and dad, or wanting to include an individual touch to your organization, printable templates can be your ace in the hole.
Free Rent To Own Agreement Make Download Rocket Lawyer
Free New Mexico Rent To Own Lease Option Agreement PDF Word
Printable templates use a wide variety of choices, showcasing a diverse choice of choices for users to check out.
- Crafting and DIY Projects: From origami productions and festive decors to complex paper art and customized gift boxes, templates supply a beginning point for unleashing your inner artist.
- Staying arranged and on top of your game has never ever been easier with our arsenal of printable calendars, planners, spending plan trackers, and to-do lists. These visual tools will assist you keep your schedule and objectives in check, providing you a sense of control and accomplishment.
- Educational Activities: Flashcards, worksheets, coloring pages, and games with templates can change finding out into an enjoyable and appealing experience for children of all ages.
- Organization and Marketing: Templates for pamphlets, flyers, business cards, and presentations offer a professional and polished want to your marketing products.
- Event Planning: Invitations, location cards, celebration favors, and decors can all be developed utilizing templates, including a cohesive and tailored touch to your celebrations.
Unlocking Efficiency: The Advantages of Printable Templates like Rent To Own Agreement Template
“Benefits of Printable Templates vs. Starting from Scratch”
- Saves Time: Templates provide a ready-made structure, eliminating the need for careful measurements and complex style work. This permits you to concentrate on the innovative aspects of your job.
- Affordable: Free and budget friendly printable templates are available online, saving you cash purchasing pre-made craft products or style services.
- Encourages Creativity: Templates offer a foundation for amateur crafters to build upon, providing the nerve to attempt fresh projects. At the same time, skilled craftsmen can draw motivation from templates to create unique variations and modifications.
- Promotes Organization: Templates frequently come pre-formatted with designated sections, making keeping your projects and plans arranged simpler.
Offers Flexibility: Many customizable templates allow you to customize colors and typefaces and add creative touches.
Free Rent To Own Lease Agreement Template PDF Word
Available templates approve you a passport to a realm of endless opportunities, enabling you to style, coordinate, and tailor various components of your existence. Whether creating fascinating embellishments or optimizing your schedule, the possibilities are boundless. Rent To Own Agreement Template
Printable templates are an important resource for both personal and expert tasks, as they offer a pre-designed structure for your content. By using these Rent To Own Agreement Template, you can improve the design process and save effort and time, permitting you to focus on other important aspects of your job.




